Proverbs 14:12 says,
Judges 17:6 says,
In Isaiah 29:16 the Lord spoke through the prophet,
In Galatians 6:7-8 Paul reminds us all,
1 Corinthians 1:27-29 says,
Proverbs 3:5,6 says,
Ignorance, arrogance and pride they’re the foundation stones of deception. Ignorance comes from not knowing the truth, either from not having heard it or ignoring it. Arrogance feeds the heart that denies or refuses the truth because with truth comes accountability. And pride claims sovereignty over the truth freeing a life to believe it can choose its own reality. All of this takes place before a God who is not hiding. Instead, He makes the complex simple as opposed to the deceiver who does just the opposite.
Let’s look today at the mathematics of deception.
***
I’ll never forget the words of a professor in a class on leadership that stated what should be obvious. He was teaching about moving people forward toward an action. He said, “Ideas precede actions. Before you can move a person forward, you must convince them.”
Years later, in studying the works of the Christian apologists named Francis Schaeffer, he said something that’s stuck in my mind. He said, “Ideas have consequences. They take people in a direction.” Later he would say, “It’s mathematical.” In other words, ideas have a vector. They build on one another. They take a person in a direction like one number added to another.
I mean, the analogy is powerful. But unlike a simple math problem, which may have a limited formula, like 1+1=2, life continues coming, adding days, events, and thoughts. Once certain ideas form in a person’s mind, whatever comes next is shaped by what came before it. It’s not unlike what’s said when person said that he looks at the world through rose-colored glasses. The glasses color everything. It distorts reality by the shade of the glasses.
Having said all that, let’s get back to the subject of Deception. As we’ve seen before in previous episodes, the deception in the world has a Deceiver behind it. He is the enemy of God. He has a name, it is Satan, Lucifer, the Devil and so on. Even though he is a fallen and defeated enemy, he is steadily at war with God and His creation. He has not accepted his defeat. He is involved in a campaign of deception and destruction.
With mankind, his main weapon is deception and lies. He uses this beginning by separating mankind from God and then deceiving them into his rebellion. And even though mankind is in sin and rebellion against God, God has extended to mankind a way of escape. He has provided us a way of rescue, of salvation. He did this through His Son Jesus Christ. This salvation is something God has provided for humanity but not for the Devil and his rebellious minions. We can only imagine how this reality has motivated the enemies’ wicked hatred for God and mankind.
I want to remind you once again of the repeated strategy that the enemy has used in his attack of deception. We’ve laid it out in three basic steps. These steps can be elaborated and expanded but they remain pretty much the same. I’ve pointed these out to help us recognize them and so you can use them to spot the enemy.
Do you remember them? First, the enemy questions God’s Word. There are a multitude of ways that this can be accomplished but the purpose is to undermine God by calling into question His Word, His authority or even His existence. To say it another way, the Devil wants to move God out of the way and make Him irrelevant to reality.
And having undermined or called into question God’s authority, the enemy introduces and alternative to God’s Word, His revealed truth. Again, this can come in the form of various religions, human so-called wisdom, philosophies, or experiential authorities. Whatever the case, the purpose is to provide of substitute to truth where anything will divert away from God.
The final goal of the lying enemy is to tempt with the promise of power, the power to control. And having separated a person from God through his deceptions, the enemy wants to attempt to fill the tempted with the illusion that they can control truth, control reality and the consequences of these actions. Of course, in the end this path leads to judgment and destruction.
And there it is, the tactic of the liar, the enemy of God and mankind. He hates God, and the One who is truly in control. He hates humanity, who God loves and offers His rescue. He is the enemy because he deceives individuals. He doesn’t care one bit about our welfare. He is a wicked and murderous being. He is under the judgment of God and his time is running out.
Now, let’s get back to what I called the Mathematics of Deception. In my travels to various places, I have visited many schools. I love asking students which subject gives them the most problems. Without exception, mathematics always lands at the top of the list.
Maybe you’ve seen those books in the bookstore or online. They have a multitude of titles but they usually begin with the words “A Dummies Guide to… fill in the blank.” Now, if you’ve looked at any of these books, you’ll learn that the books aren’t for someone who is dumb. What they’re doing is taking a complex topic and simplifying it and making it understandable. You know what? It actually takes great skill to make the complex simple. And that’s actually what God does in so many areas. And that’s what I want to accomplish here today. And I want to use a simple math to illustrate some aspects of our enemies’ deceptive work.
Now understand something about illustrations. They are limited. All illustrations break down. Their purpose is to instruct by calling attention to aspects of a subject so that we can understand the essence of a truth. I say this only because I’ve had people hear an illustration and then go to seed on it and either misuse it or stretch it beyond recognition. An illustration is just that, an illustration. An illustration can carry a truth but truth can speak for itself. And the truth is given to us in the Word of God. Truth Matters!
Let me use the simple formula that I spoke of earlier, 1+1=2. Seems simple enough. This is a math problem that a child in kindergarten would be taught. To most individuals, this simple math problem should be universally known and understood.
But what if someone comes along into a classroom or a life and their motive isn’t to teach. What if their intention is to disrupt, to deceive and to manipulate for evil or selfish purposes. What would they do with such a simple formula?
I want to suggest some ways a deceiver could do this. One way they would do was to question math itself. They would say, “You don’t really need that to live. What does the number One mean anyway really? Who decided it had to be that way? Your opinion is important. You should be the one to decide.”
I hope these statements sound familiar. Simple truths can be manipulated in the hands of an intentionally evil person. What should be obvious can be thrown into confusion by devious suggestions of someone who is not interested in truth but is selfishly intent on deception.
My focus in pointing this out is my concern for those being deceived by such a tactic. It contains possible eternal consequences to fall under the spell of such deceptive schemes. Truth is not a democracy, okay. The Bible is very clear on this. Proverbs 14:12 says, “There is a way which seems right to a person, but its end is the way of death.”
To abandon what is obvious to an instructed six-year-old is not a safe option. A child gives themselves in order to be instructed. By this instruction they learn the foundational truths and then they build on it. When someone listens to a deceptive word and questions leadership and instruction in truth, they will have only themselves as the authority on life. History and experience teaches us that being left to ourselves doesn’t end well. We’re not as smart as we think. Judges 17:6 says, “In those days there was no king in Israel; everyone did what was right in his own eyes.” And then repeating Proverbs 14:12, “There is a way which seems right to a person, but its end is the way of death.”
Let me go back to our simple math formula, 1+1=2. Again, plain, simple, obvious. And again, we insert someone with evil intent. But this time the strategy is not to deceive by questioning but instead they seek to confuse by complicating the simple. The formula is now presented in this way:
There is a way which seems right to a person, but its end is the way of death.
Judges 17:6 says,
In those days there was no king in Israel; everyone did what was right in his own eyes.
In Isaiah 29:16 the Lord spoke through the prophet,
You turn things around! Shall the potter be considered as equal with the clay, that what is made would say to its maker, “He did not make me”; Or what is formed say to him who formed it, “He has no understanding”?
In Galatians 6:7-8 Paul reminds us all,
Do not be deceived, God is not mocked; for whatever a person sows, this he will also reap. For the one who sows to his own flesh will reap destruction from the flesh, but the one who sows to the Spirit will reap eternal life from the Spirit.
1 Corinthians 1:27-29 says,
but God has chosen the foolish things of the world to shame the wise, and God has chosen the weak things of the world to shame the things which are strong, and the insignificant things of the world and the despised God has chosen, the things that are not, so that He may nullify the things that are, so that no human may boast before God.
Proverbs 3:5,6 says,
Trust in the LORD with all your heart, and do not lean on your own understanding. In all your ways acknowledge Him, and He will make your paths straight.
Ignorance, arrogance and pride they’re the foundation stones of deception. Ignorance comes from not knowing the truth, either from not having heard it or ignoring it. Arrogance feeds the heart that denies or refuses the truth because with truth comes accountability. And pride claims sovereignty over the truth freeing a life to believe it can choose its own reality. All of this takes place before a God who is not hiding. Instead, He makes the complex simple as opposed to the deceiver who does just the opposite.
Let’s look today at the mathematics of deception.
***
I’ll never forget the words of a professor in a class on leadership that stated what should be obvious. He was teaching about moving people forward toward an action. He said, “Ideas precede actions. Before you can move a person forward, you must convince them.”
Years later, in studying the works of the Christian apologists named Francis Schaeffer, he said something that’s stuck in my mind. He said, “Ideas have consequences. They take people in a direction.” Later he would say, “It’s mathematical.” In other words, ideas have a vector. They build on one another. They take a person in a direction like one number added to another.
I mean, the analogy is powerful. But unlike a simple math problem, which may have a limited formula, like 1+1=2, life continues coming, adding days, events, and thoughts. Once certain ideas form in a person’s mind, whatever comes next is shaped by what came before it. It’s not unlike what’s said when person said that he looks at the world through rose-colored glasses. The glasses color everything. It distorts reality by the shade of the glasses.
Having said all that, let’s get back to the subject of Deception. As we’ve seen before in previous episodes, the deception in the world has a Deceiver behind it. He is the enemy of God. He has a name, it is Satan, Lucifer, the Devil and so on. Even though he is a fallen and defeated enemy, he is steadily at war with God and His creation. He has not accepted his defeat. He is involved in a campaign of deception and destruction.
With mankind, his main weapon is deception and lies. He uses this beginning by separating mankind from God and then deceiving them into his rebellion. And even though mankind is in sin and rebellion against God, God has extended to mankind a way of escape. He has provided us a way of rescue, of salvation. He did this through His Son Jesus Christ. This salvation is something God has provided for humanity but not for the Devil and his rebellious minions. We can only imagine how this reality has motivated the enemies’ wicked hatred for God and mankind.
I want to remind you once again of the repeated strategy that the enemy has used in his attack of deception. We’ve laid it out in three basic steps. These steps can be elaborated and expanded but they remain pretty much the same. I’ve pointed these out to help us recognize them and so you can use them to spot the enemy.
Do you remember them? First, the enemy questions God’s Word. There are a multitude of ways that this can be accomplished but the purpose is to undermine God by calling into question His Word, His authority or even His existence. To say it another way, the Devil wants to move God out of the way and make Him irrelevant to reality.
And having undermined or called into question God’s authority, the enemy introduces and alternative to God’s Word, His revealed truth. Again, this can come in the form of various religions, human so-called wisdom, philosophies, or experiential authorities. Whatever the case, the purpose is to provide of substitute to truth where anything will divert away from God.
The final goal of the lying enemy is to tempt with the promise of power, the power to control. And having separated a person from God through his deceptions, the enemy wants to attempt to fill the tempted with the illusion that they can control truth, control reality and the consequences of these actions. Of course, in the end this path leads to judgment and destruction.
And there it is, the tactic of the liar, the enemy of God and mankind. He hates God, and the One who is truly in control. He hates humanity, who God loves and offers His rescue. He is the enemy because he deceives individuals. He doesn’t care one bit about our welfare. He is a wicked and murderous being. He is under the judgment of God and his time is running out.
Now, let’s get back to what I called the Mathematics of Deception. In my travels to various places, I have visited many schools. I love asking students which subject gives them the most problems. Without exception, mathematics always lands at the top of the list.
Maybe you’ve seen those books in the bookstore or online. They have a multitude of titles but they usually begin with the words “A Dummies Guide to… fill in the blank.” Now, if you’ve looked at any of these books, you’ll learn that the books aren’t for someone who is dumb. What they’re doing is taking a complex topic and simplifying it and making it understandable. You know what? It actually takes great skill to make the complex simple. And that’s actually what God does in so many areas. And that’s what I want to accomplish here today. And I want to use a simple math to illustrate some aspects of our enemies’ deceptive work.
Now understand something about illustrations. They are limited. All illustrations break down. Their purpose is to instruct by calling attention to aspects of a subject so that we can understand the essence of a truth. I say this only because I’ve had people hear an illustration and then go to seed on it and either misuse it or stretch it beyond recognition. An illustration is just that, an illustration. An illustration can carry a truth but truth can speak for itself. And the truth is given to us in the Word of God. Truth Matters!
Let me use the simple formula that I spoke of earlier, 1+1=2. Seems simple enough. This is a math problem that a child in kindergarten would be taught. To most individuals, this simple math problem should be universally known and understood.
But what if someone comes along into a classroom or a life and their motive isn’t to teach. What if their intention is to disrupt, to deceive and to manipulate for evil or selfish purposes. What would they do with such a simple formula?
I want to suggest some ways a deceiver could do this. One way they would do was to question math itself. They would say, “You don’t really need that to live. What does the number One mean anyway really? Who decided it had to be that way? Your opinion is important. You should be the one to decide.”
I hope these statements sound familiar. Simple truths can be manipulated in the hands of an intentionally evil person. What should be obvious can be thrown into confusion by devious suggestions of someone who is not interested in truth but is selfishly intent on deception.
My focus in pointing this out is my concern for those being deceived by such a tactic. It contains possible eternal consequences to fall under the spell of such deceptive schemes. Truth is not a democracy, okay. The Bible is very clear on this. Proverbs 14:12 says, “There is a way which seems right to a person, but its end is the way of death.”
To abandon what is obvious to an instructed six-year-old is not a safe option. A child gives themselves in order to be instructed. By this instruction they learn the foundational truths and then they build on it. When someone listens to a deceptive word and questions leadership and instruction in truth, they will have only themselves as the authority on life. History and experience teaches us that being left to ourselves doesn’t end well. We’re not as smart as we think. Judges 17:6 says, “In those days there was no king in Israel; everyone did what was right in his own eyes.” And then repeating Proverbs 14:12, “There is a way which seems right to a person, but its end is the way of death.”
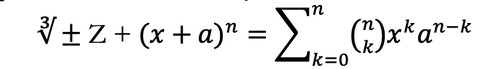
Let me go back to our simple math formula, 1+1=2. Again, plain, simple, obvious. And again, we insert someone with evil intent. But this time the strategy is not to deceive by questioning but instead they seek to confuse by complicating the simple. The formula is now presented in this way:

Now, if you’re like me you take one look at this and you say, “I have no idea what I’m looking at.” You look at it and you see some things from the first one that makes sense, you can recognize. For me it’s the plus sign and the equal sign. Beyond that… I’ve got nothing.
Now enters the deceiver. He comes not in to help us understand. No, comes to deceive. He presents us with prideful experts who tell us that we don’t know and we need to trust them. But understand, the experts don’t have our best interest in mind. They have goals of their own, agendas. They themselves are being manipulated. And for all people know, they have no idea where they’re going or where things are going. The only thing we know for certain is that they want to keep it complicated as a way to maintain control.
We are surrounded by a tidal wave of ideas and streams of thinking. Information comes to us today like a busted fire-hydrant flow of viewpoints. And we have to admit that there’s no way to keep up with it. This leaves us either overwhelmed, exhausted, or even apathetic in response. This also is a strategy of the enemy. Any of this sound familiar?
Let me now simplify all of this into two statements about the distorting mathematics of deception. The enemy first Questions the Truth God that has Provided. This feeds pride and carries a person toward the consequences for anyone who opposes God.
In Isaiah 29:16 says,
I mean, the creation calls into question the Creator. How silly. How arrogant! Of course, this course of action does not end well. Anyone who’s guided by pride will not like where the road ends. Remember what God said in Galatians 6:7-8?
You cannot disregard God and His revealed truth and escape the consequences. 1+1 will equal 2. Question it, challenge it, or deny it, none of those changes the reality the truth of God.
Secondly, the enemy deceives by Complicating the Simple. He feeds individual pride and controls the ones who cannot recognize either the truth or the hand of the deceiver. Remember this, God’s greatest truth comes to us in simple fashion making the easy for simple faith. Remember what Paul said in 1 Corinthians 1:18. “For the word of the cross is foolishness to those who are perishing, but to us who are being saved it is the power of God.”
God reveals His supreme work for mankind in simple terms so even a child can understand and know it. You don’t have to be some super intellect or enlightened soul to have a relationship with the Creator, the Lord God. You just have to believe Him.
There is no room before God for those who are proud in their own wisdom. 1 Corinthians 1:27-29 says,
There are some words I’ve written in my Bible many years ago. I’ve transferred from every Bible I’ve ever owned since. It’s been a great reminder. It says, “When I have taken the simple things of God, and He comes in and makes them simple again, that I love Him the most.”
It reminds me that I don’t have to be clever or brilliant to be close to God and His way. All I have to do is believe, trust what He said. And then suddenly, it all becomes clearer. He’s as close as the mention of His name. And I’m always secure trusting what He said.
Proverbs 3:5,6 says it so simply.
The way is as simple as trusting Him and what He said. 1 + 1 = 2
Truth Matters.
Now enters the deceiver. He comes not in to help us understand. No, comes to deceive. He presents us with prideful experts who tell us that we don’t know and we need to trust them. But understand, the experts don’t have our best interest in mind. They have goals of their own, agendas. They themselves are being manipulated. And for all people know, they have no idea where they’re going or where things are going. The only thing we know for certain is that they want to keep it complicated as a way to maintain control.
We are surrounded by a tidal wave of ideas and streams of thinking. Information comes to us today like a busted fire-hydrant flow of viewpoints. And we have to admit that there’s no way to keep up with it. This leaves us either overwhelmed, exhausted, or even apathetic in response. This also is a strategy of the enemy. Any of this sound familiar?
Let me now simplify all of this into two statements about the distorting mathematics of deception. The enemy first Questions the Truth God that has Provided. This feeds pride and carries a person toward the consequences for anyone who opposes God.
In Isaiah 29:16 says,
You turn things around! Shall the potter be considered as equal with the clay, that what is made would say to its maker, “He did not make me”; Or what is formed say to him who formed it, “He has no understanding”?
I mean, the creation calls into question the Creator. How silly. How arrogant! Of course, this course of action does not end well. Anyone who’s guided by pride will not like where the road ends. Remember what God said in Galatians 6:7-8?
Do not be deceived, God is not mocked; for whatever a person sows, this he will also reap. For the one who sows to his own flesh will reap destruction from the flesh, but the one who sows to the Spirit will reap eternal life from the Spirit.
You cannot disregard God and His revealed truth and escape the consequences. 1+1 will equal 2. Question it, challenge it, or deny it, none of those changes the reality the truth of God.
Secondly, the enemy deceives by Complicating the Simple. He feeds individual pride and controls the ones who cannot recognize either the truth or the hand of the deceiver. Remember this, God’s greatest truth comes to us in simple fashion making the easy for simple faith. Remember what Paul said in 1 Corinthians 1:18. “For the word of the cross is foolishness to those who are perishing, but to us who are being saved it is the power of God.”
God reveals His supreme work for mankind in simple terms so even a child can understand and know it. You don’t have to be some super intellect or enlightened soul to have a relationship with the Creator, the Lord God. You just have to believe Him.
There is no room before God for those who are proud in their own wisdom. 1 Corinthians 1:27-29 says,
but God has chosen the foolish things of the world to shame the wise, and God has chosen the weak things of the world to shame the things which are strong, and the insignificant things of the world and the despised God has chosen, the things that are not, so that He may nullify the things that are, so that no human may boast before God.
There are some words I’ve written in my Bible many years ago. I’ve transferred from every Bible I’ve ever owned since. It’s been a great reminder. It says, “When I have taken the simple things of God, and He comes in and makes them simple again, that I love Him the most.”
It reminds me that I don’t have to be clever or brilliant to be close to God and His way. All I have to do is believe, trust what He said. And then suddenly, it all becomes clearer. He’s as close as the mention of His name. And I’m always secure trusting what He said.
Proverbs 3:5,6 says it so simply.
Trust in the LORD with all your heart, and do not lean on your own understanding. In all your ways acknowledge Him, and He will make your paths straight.
The way is as simple as trusting Him and what He said. 1 + 1 = 2
Truth Matters.
Posted in Truth Matters - with Emilio Lartigue
Recent
206: Increasing Persecution in the West
February 2nd, 2026
031: From Grief to Faith: How Discipleship Changed Everything
January 26th, 2026
205: Is it time to defend the Church?
January 23rd, 2026
204: Islam in 2026: Shifting Tides?
January 16th, 2026
203: Awful Imperialism or Lawful Arrest?
January 9th, 2026
Archive
2026
2025
January
February
March
April
May
June
July
August
September
October
2024
January
February
March
April
May
June
July
August
September
Categories
Tags
AI
ANTIFA
Abortion
Absolute truth
Afghanistan
Aliens
Amazon
America
Amy Coney Barrett
Anxiety
Art
BLM
Bears
Beatitudes
Bible
Biden
Big Tech
COVID19
Canada
Capitalism
Censorship
Children
China
Christmas
Church History
Climate Change
Communism
Conflict
Congress
Constitution
Control
Creativity
Critical Race Theory
Culture
Death
Deep State
Discipleship
Easter
Economics
Education
Elijah
Encouragement
End Times
Environmentalism
Equality
Euthanasia
Evil
Evolution
Facebook
Father's Day
Father\'s Day
Fatherhood
Fear
Foreign Policy
Free Speech
Freedom
Gambling
Gender
Genesis
Google
Gospel
Government Handouts
Government Spending
Government
Guns
Halloween
Hamas
Holidays
Hollywood
Immigration
Intersectionality
Islam
Isolation
Israel
Jobs
Judgment
Justice
Kamala Harris
LGBTQ
Liberal
Life
Loneliness
Marijuana
Masculinity
Methodists
Military
Miracle
Moms for Liberty
Monkey Pox
Movies
Naturalism
News
Olympics
Orwell
Parenting
Pastors
Police Brutality
Political Correctness
Pope
Population
Prayer
Presbyterian
President
Prophecy
Public School
Reddit
Religion
Religious Freedom
Republican
Resurrection
Roman Empire
Russia
SBC
Sacred Art
School Shooting
School
Science
Scopes Trial
Second Ammendment
Secularism
Sin
Social Justice
Social Media
Spiritual Warfare
Stand Firm
Suicide
Surrender
Surveillance
Testimony
Transgender
Trump
Ukraine
Vaccine
WWJD
War
Witchcraft
Wokeism
Women
Worship
antihumanism
church
civil disobedience
conspiracy
disinformation
election
hate
hell
heresy
hermeneutics
history
judgmental
language
love
marriage
misinformation
missions
modernism
pandemic
persecution
politics
postmodernism
racism
rationality
sex
socialism
sports
supreme court
transhumanism
truth
vote
white supremacy
worldview
